尋找完美的黑珍珠
深色色漿有利于增加粉末涂料和液體涂料的調色方案選擇。
Jonathan Doll,Aaron Hollman,Adam Andreas
研究開發了一種新型黑珠光顏料,其光澤、黑度和閃爍性極佳,可用作原色調或在液體和粉末涂料中作為調色顏料。值得一提的是新顏料用于粉末涂料施工過程中未出現帶電或分離問題。
珠光顏料是一類特殊的效應顏料,通過光的相長性干涉和相消 性干涉呈現顏色。呈現的顏色取決于顏料的物理結構及其組 分吸光度的組合作用。由于珠光顏料的顏色與結構有關,所以人 們所看到的顏色與觀察角有關。這種隨視角變化的顏色叫珠光色 或閃光色,是珠光顏料的特性。
從結構上來說,所有珠光顏料都相似,其組成為在片狀基材 上包覆一層或多層金屬氧化物(如二氧化鈦TiO2、氧化鐵或二氧化 硅)。大部分珠光顏料都呈現透明的白色,只有在黑色背景上觀 察時才會顯現顏色。
如何制備彩色珠光顏料
傳統珠光顏料可分為10種基本顏色。其中,6種顏色是通過 在透明基材上包覆TiO2而形成的:銀色/白色、干涉金色、干涉紅 色、干涉紫色、干涉藍色和綠色。顏色主要取決于包覆層厚度, 表1列舉了一種特殊顏料的顯色和包覆層厚度情況。
如果采用氧化鐵和/或氧化鐵-TiO2進行包覆,顏色范圍可以擴 展至金屬金色、青銅色、銅色和赤褐色。
最早的珠光顏料是在天然云母上進行包覆制備的,天然云母 是一種易形成薄層的低成本材料。由于在結晶體晶格中的雜質以 及厚度的輕微變化(即使是在單個薄片內),顏色只局限于淡綠黃 色。所以合成云母、硼硅酸鹽玻璃和氧化鋁等材料越來越多地用 于生產高檔光學顏料。由于氧化鐵是彩色的,因此包覆一層氧化鐵的珠光顏料含有對所感知顏色的吸收成分。除了純色以外,珠光顏料根據基材的粒徑大小和類型,可以呈現各種特殊效果,包括從緞光(粒徑<15 m="">250 μm 的基材)。因此,除了這10 種基本顏色外,珠光顏料的顏色可擴展至全色譜 的顏色,使配方設計師能夠制備出獨特產品。
結果一覽
對于許多消費品來說,黑色是較為流行的顏色。但目前, 生產深黑色珠光顏料較為困難。開發了一種新型效應顏料,具 有極佳的光澤、黑度和閃光性。
在許多應用中,該顏料可用作原色調,也可作為液體和粉 末涂料的著色顏料。
在粉末涂料中添加量為0.25%或低于0.25%時,著色效果很 明顯,而添加量要在1.0%或1.0%以上時,閃光效果才較為明 顯。
在粉末涂料涂裝中,新型顏料未出現帶電或分離問題,因 此,可通過干混或邦定的方式進行使用。
為什么很難形成黑珠光顏色
除珠光色外,最受歡迎的顏色之一就是黑色。對于大部分消 費品來說(從汽車到時尚用品),黑色是最受歡迎的顏色之一。盡 管有需求,但由于黑顏色的本質特征,要產生黑色珠光效果面臨 諸多挑戰。
黑色的物理定義為:在所有可見波長上沒有光反射或光反射 極少。這是減色法色彩混合的最終結果,其特征是在光的所有波 長上全部吸收。
另一方面,珠光顏料是通過光的干涉而非對光的吸收形成顏 色。因此,混合珠光顏料后顯現的顏色是一種加合顏色,將不同 的珠光顏料混合在一起,就會使整體外觀"變白"。要制備黑色 珠光顏料就會降低隨角異色現象和閃光性,因為入射到顏料上的 大部分光都被吸收了,而不是被反射了。
盡管存在上述困難,市場上仍可買到黑色珠光顏料。不過, 在許多情況下,該類顏料并非真正的黑色。大部分為炮銅灰色 (亮度或L *值太高)或黑橄欖色(色飽和度或C *值太高)。真正 的黑色具有消色差性(非彩色),且L * 和C *值都低。市場上確實 有一些純黑珠光顏料。然而,這些珠光顏料無閃光效果,而閃光 效果又是傳統珠光顏料的典型特征。
本文介紹了黑珠光顏料領域中的新進展。與傳統市售黑珠光 顏料相比,這類顏料的光澤、閃光性和黑度極佳,可用于各種不 同的應用領域(如液體涂料和粉末涂料中),且不會降低感知效 果。此外,還可用于粉末涂料著色,獲得具有極佳閃光和光澤效 果的系列顏色。

新型黑色珠光顏料具有很高的視覺效果
為了證明新型黑色珠光顏料的獨特性,圖1顯示了在丙烯酸清 漆中分別添加10%(質量比)的新型黑色珠光顏料(珠光A)和市 售黑色珠光顏料(珠光B~D),通過刮板對原色調進行比較。所 有圖片均在在D65光源照明和相同條件下拍攝的。
如圖1所示,所有黑色珠光顏料中,只有珠光A同時具有理 想的高黑度、光澤和閃光性。珠光B和C光澤差,珠光D更偏藍。 沒有一種參照顏料具有珠光A特有的誘人閃光性。對珠光顏料 A~D的動態色指數(F.I.)和黑度(Mc)進行了測量,以定量了 解它們的顏色。可利用圖1中的顯示圖來測量這些值。根據采用
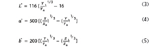
X-Rite"MA-98"多角度分光光度儀獲得的顏色數據,進行計算得 到動態色指數。從帶有漫反射積分球的Datacolor "SF600 plus" 分光光度計獲得的顏色數據計算Mc 值。分別采用方程式1和2對 F.I. 和Mc 進行計算,結果見表2。

式中,L 15*、 L 45* 和L 110*分別是在15°、45°和110°時的鏡面反射 角度(在45°入射光下)時測得的亮度值。X n、Y n 和Z n是入射光源 的三刺激值,X 、Y 和Z 是反射光的三刺激值,應通過以下方法來確 定:

動態色指數可用于度量珠光體的整體光澤度和隨角異色程 度,因為是從3個不同的觀察角度考慮了亮度值。觀察者對樣品進 行觀察時,較高的動態色指數意味著外表光澤更高。黑度是顏料 黑色程度的度量指標。Mc 值越高,則顏料越黑。
表2顯示了珠光A(新型黑色珠光顏料)兼顧了黑度和隨角 異色之間的平衡。珠光B和C具有較好的黑度,但隨角異色效果較 差,珠光D的黑度最差,但隨角異色效果較強。這樣看來,珠光A 具有最佳的性能平衡。此外,圖1中的原色調圖表明珠光A具有閃 光效果,這在珠光B~D中并未觀察到。閃光效果、隨角異色和黑 度結合在一起,形成了完全不同于本研究中其他任何珠光顏料的 效果,證明該新型顏料的獨特性。

用于粉末涂料著色的多功能顏料
珠光A主要作為粉末涂料的著色顏料。按照定義,粉末涂料為 干涂料體系,傳統著色顏料(如炭黑)很難分散,且很難普遍用 于各種粉末涂料中。
為了克服這一局限,通常使用黑色珠光顏料,因為黑色珠光 顏料施工性能好,著色效果優異。圖2呈現在透明聚氨酯粉末噴涂 時(6%添加量),珠光A和B原色對比情況。珠光A和B的黑度和 不透明度接近;但是,珠光A呈現出均勻一致的特殊多色閃光效 果。

值得注意的是,新型黑色珠光顏料在粉末涂料涂裝中未出現 帶電或分離問題。因此,可通過干混或邦定的方式,將黑色珠光 顏料加入到粉末涂料基料中。
在這兩種情況下,在噴涂時,未觀察到因帶電和/或分離問題 導致粉料的噴涌、飛濺或結塊等問題。同時,還發現黑色珠光顏 料在高光澤和低光澤粉末基料中均可使用,此外還可以用于質感 (紋理狀)粉末涂料的調色。
使用新型黑色珠光顏料使調色的靈活性更大,得到的色調比 標準黑色珠光顏料更好看、更亮。圖3展示了一塊用珠光A經"梯 度" 調色得到的透明綠色粉末涂料基料噴涂的不銹鋼地板的圖 片。 隨著新型黑色珠光顏料的添加量逐漸從0.25%增加至8.0% (質量分數),粉末涂料的顏色逐漸變深,閃光效果更為明顯。 即使珠光A的添加量較低,也可觀察到顏色明顯變深。最后,在添 加量約為1.0%時,閃光效果非常明顯,并隨著添加量的增大而增 強。
增強原色和調色效果
總之,開發了一種新型黑色珠光顏料,可用于液體涂料和 粉末涂料,呈現極佳的閃光效果和黑度。與其他黑色珠光顏料相 比,新型顏料兼顧了黑度和隨角異色效果之間的平衡,并具有獨 特的閃光效果。新型黑色珠光顏料易于加入粉末涂料中,可作為 調色顏料,也可用作原色,涂料涂裝中未出現帶電或分離問題。
